
Cell dimensions:

Definition:
1.Rated capacity:
Rated capacity =17Ah, the capacity obtained when a cell is discharged at 2-hour rate to voltage 2.5 V at 25±2.5 ℃
2. Standard charge method:
At 25±2.5℃, charged to 3.65V at a constant current of 0.5C, and then, charged with constant voltage of 3.65V until the charged current drops below 0.01C.
3.Standard discharge method:
At 25±2.5 ℃, discharged to 2.5 V at a constant current of 1C.
Cell specification (fresh cell tested at 25±2.5℃, using standard charge and discharge unless otherwise specified)
ITEM | SPECIFICATION | |
Nominal capacity | 17Ah @ 0.5C | |
Minimum capacity | 16.5Ah @ 0.5C | |
Nominal voltage | 3.2V | |
Max Charging voltage | 3.65 ±0.05 V | |
Discharge ending voltage | 2.5 ±0.05 V | |
Charge current | Standard charge: 0.5C | |
Discharge current | Standard discharge: 3C | |
Recommended charge & discharg cell surface temperature | Charge: 0~45℃ Discharge: -20~60℃ | |
Maximum allowable charge and temperature. Charging and discharging at these conditions will shorten cell cycle life. | Charge: 60℃ | |
Humidity range | 0~90%RH (none condensing) | |
Storage performance | 25℃,100%SOC,28d capacity retention | ≥6.0Ah |
25℃,100%SOC,28d capacity recovery | ≥6.3Ah | |
Storage requirements | Less than 1 year: -20~25℃ | |
Less than 3 months: -20~45℃ | ||
30%~60%SOC, no water condensation | ||
Internal resistance | ≤2.5mOhm (AC Impedance, 1000HZ) | |
Cell dimension | Height: 165 mm Max | |
Weight | ~460 g | |
Electronic performance (fresh cell tested at 25±2.5℃, standard charge and discharge unless otherwise specified)
NO. | ITEM | CRITERION | |
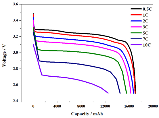
5.1.1 | Discharge rate capability | discharge capacity at 3C | ≥16.3Ah |
discharge capacity at 5C | ≥15.8Ah | ||
discharge capacity at 10C | ≥15.3Ah | ||
5.1.2 | Cycle life | discharge capacity of 2000th cycle @ 100% DOD | ≥13.6Ah |
discharge capacity of 3000th cycle @ 100% DOD | ≥11.9Ah | ||
5.1.3 | High-Low temperature discharge performance (0.5C discharge) | discharge capacity at -10 ℃ | ≥10.2Ah |
discharge capacity at 0 ℃ | ≥12.7Ah | ||
discharge capacity at 60 ℃ | ≥16.5Ah | ||
residual capacity after 3months storage | ≥15.7Ah | ||
recover capacity after 3months storage | ≥16Ah | ||

C-Rate | Medium voltage/V | Peak temperature/℃ | Temperature rise/℃ Room temperature is 26℃) |
1C | 3.17 | 30.1 | 4.1 |
3C | 3.06 | 38.3 | 12.3 |
5C | 2.98 | 44.3 | 18.3 |
7C | 2.9 | 50 | 24 |
10C | 2.75 | 56.1 | 30.1 |

Environmental and safety characteristics:
ITEM | TEST METHOD | CRITERION |
Over discharge | Under the battery discharge to the cut-off voltage, then discharge with 0.1C,until the voltage of battery is zero. | No explosion, no fire, no leakage |
Over charge | After the battery fully charge, overcharge with 0.5C for one hour. | No explosion, no fire, no leakage |
reverse charge | After the battery fully charge, with 1/6C reverse current constant current charging for 8h. | No explosion, no fire, no leakage |
130℃ high temperature | After the battery is fully charged, the battery is placed in the oven for 3℃ ~ 7℃ / min heating rate, the temperature rose to 130 ℃ after the start time, and (130 ± 2) ℃ temperature range of security within 1h. | No explosion, no fire, no leakage |
High and low temperature impact | When the battery is fully charged, shelved at -40℃ for 1h, then shelved 1h at 85℃, do such cycle for 32 times, then remove under room temperature for 6h. | No explosion, no fire, no leakage |
Vibration | When the battery is fully charged,put the battery on the vibration table of amplitude 2mm, frequency 10Hz-30Hz for one hour. | No explosion, no fire, no leakage, no deformation. |
Free fall drop | After the battery fully charge, let the battery fall from a height of 1.0m to the hard wood with thickness of 20mm, each surface for once. | No explosion, no fire, no leakage |
Soaking | After the battery fully charged, the battery was sink at room temperature, depth will be subject to immersion cell surface within 24 h, then take out under room temperature for 6 h. | No explosion, no fire, no leakage |
Extrusion | After the battery is fully charged, the battery surface with special equipment was squeezed until the batteries dimensions changed to 1 ~ 3mm. | No explosion, no fire |
Short circuit | When the battery is fully charged, with the internal resistance of not more than 50mΩ wires connecting to the battery positive and negative extremes for 1h. | No explosion, no fire, no leakage |
Constant temperature / humidity / heat | After the battery fully charged the in the relative humidity of 90% ~ 95% of the constant temperature and humidity box, duration of 48 h, then take out under room temperature for 6 h. | No explosion, no fire, no leakage |
Nail | A nail (diameter : 2.5~5mm) is penetrated vertically through the center of the fully charged cells. | No explosion, no fire, no leakage |
Warning in handling the lithium-ion cell:
Don’t immerse the cell in water;
Don’t use and leave the cell near a heat source such as fire or heater;
When charging, use a cell charger specifically for that purpose;
Don’t reverse the positive and negative terminals;
Don’t discard the cell in fire or heater;
Don’t connect the cell to an electrical outlet directly;
Don’t discard the cell in fire or heater;
Don’t connect the positive and negative terminal directly with metal objects;
Don’t transport and store the cell together with metal objects such as necklaces, hairpins;
Don’t directly solder the cell;
Don’t pierce the cell with a nail or other sharp object.
Don’t leave the cell with low SOC for long time, it should keep the cell with around 50% for long term storage (less than 6 months). Should charge the cell to 50% SOC after each 6 months.
Shipping and storage:
1.Shipping
The outer packaging should be firm enough, waterproof, and have a certain heat insulation effect; The interior should be filled with buffer materials, so as to avoid safety accidents caused by collisions during transportation of the battery. Cells should be kept SOC around 30-70%SOC during the time.
2.Long time storage
1) Storage conditions: keep the place clean and dry; Keep the cell terminals clean and free of dirt; Do not place heavy debris and liquid containers on the cell; The storage place should be free from inflammable, explosive, toxic and other chemicals and other corrosive gases, free from strong mechanical vibration and impact, and avoid strong electromagnetic field and sunlight. Recommended storage conditions are as follows:
2) If the cell is stored for long time, it should be carried out under the conditions specified in “4.Cell specification-storage requirements”, and the cell should be charged and discharged every 3 months.
Warranty:
1)The cells have 1 year quality assurance since the departure of the factory (otherwise stipulated in the contract shall prevail).
2)The company is not responsible for any problems caused by the combination of the circuit, battery pack and charger.
3)The company does not guarantee the quality of defective cells produced by customers during the battery assembly process after shipment.
4)The company does not assume any responsibility for any problems arising out of operation in violation of safety rules.